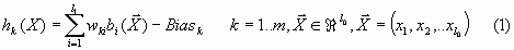
Ein neuronales Netz mit Radialen Basisfunktionen (RBF) besteht aus einer Eingangschicht, einer inneren Schicht und einer Ausgabeschicht. Die Ausgabe berechnet sich aus einer Linearkombination der lokalen Basisfunktionen der l1 inneren Knoten und einer anschließenden nicht linearen Transformation
.
![]()
![]()
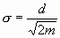
Als Radiale Basisfunktion wird meist die mehrdimensionale Gaußfunktion verwendet.
![]()
![]() |
![]() |
| Abbildung 1 Basisfunktion |
Abbildung 2 Basisfunktion |
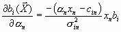
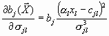
Die Basisfunktionen besitzen im allgemeinen zwei Parameter, das Zentrum
und die Weite
. Die Basisfunktionen sind lokal, den nur wenn die Eingabe
nahe am Zentrum
liegt, trägt die Basisfunktion etwas zur Ausgabe bei.
Als weiteren Parameter habe ich einen Faktor
mit aufgenommen, der direkten mit der Eingabe gekoppelt ist. Werden die Netzparameter mit einem Gradientenabstiegsverfahren erlernt, kann dies auch auf
angewendet werden. Ein spezieller Term in der Fehlerfunktion bewirkt, das das Lernverfahren kleine
bevorzugt. Ist ein
, kann der Eingangskonten
nach dem Lernen entfernt werden, da dieser nichts zur Ausgabe beiträgt. Die Netztopologie (der Eingangskonten) wird mittels
mit erlernt. Initialisiert (vorm dem Lernvorgang) wird
mit 1.
Setzt man (1) und (2) in (3) erhält man
![]()

Werden die Parameter
durch ein Iteratives Lernverfahren bestimmt, wird meist die Fehlerfunktion
![]()
verwendet.
Die Terme
und
werden verwendet um die Parameter
und
klein zu halten.
Die freien Parameter können über ein Gradientenabstiegsverfahren bestimmt werden. Die Deltas müssen dabei nicht wie bei MLP-Netzwerken zurückprobagiert werden. Es reicht wenn für jeden Parameter das Gradientenverfahren angewendet wird.
Berechnung der Gradienten
Folgende Ableitung werden später benötigt:
![]()
![]()
,
, 
, ![]()
Gradient für
(Differenzieren von (4) nach
)
![]()
![]()
Gradient für
(Differenzieren von (4) nach
)
![]()
![]()
Gradient für
![]()
![]()
Gradient für ![]()
![]()

Gradient für ![]()
![]()

Berechnung der neuen Parameterwerte im Iterationsschritt
![]()
![]()
![]()
![]()
![]()
wobei
Initialisierung der Parameter
Sensitivität des trainierten Netzes
Die Sensitivität des Netzes auf die Eingangvariablen kann mittels der Jakobian Matrix untersuchen
werden. Die Elemente der Jakobian Matrix sind die Ersten Ableitung der Netzwerkfunktion (2) nach den Eingangsvariablen![]()
![]()
.
Beispiel
XOR